Community Tip - If community subscription notifications are filling up your inbox you can set up a daily digest and get all your notifications in a single email. X
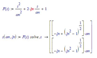
Try, instead of setting s:=-2 (without units), to give the guess value for s the same unit as what you give ohmega.n.
Otherwise, first solve the system symbolically, then fill in the values.
Success!
Luc
We don't see the value of wn.
What you have written should work if wn is unitless.
Otherwise s and wn must have the same unit and the guess value s:=-2 must have this unit, too.
Please attach your Mathcad worksheet in zip archive to the message.
