Community Tip - You can subscribe to a forum, label or individual post and receive email notifications when someone posts a new topic or reply. Learn more! X
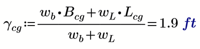
I'm using MathCAD 9.0.0.0. For whatever reason, MathCAD is having a problem with variable units of my final equation in my attached file.
Solved! Go to Solution.
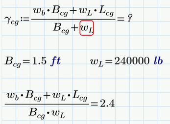
When Prime moans about incompatible units its usually correct. Unit checking is one of the strengths of the program.
In your case "Bcg" is a length/distance, but "wL" is a weight. You sure can't add quantities of different dimensions.
Maybe you meant a product instead of the sum?
Or more likely you wanted to use "wb" instead of "Bcg" !?
When Prime moans about incompatible units its usually correct. Unit checking is one of the strengths of the program.
In your case "Bcg" is a length/distance, but "wL" is a weight. You sure can't add quantities of different dimensions.
Maybe you meant a product instead of the sum?
Or more likely you wanted to use "wb" instead of "Bcg" !?
Yes, you are correct with the wb. Thank you! I have another one with the same error, but different problem. I'll start a new post.
