Community Tip - Did you get an answer that solved your problem? Please mark it as an Accepted Solution so others with the same problem can find the answer easily. X
Hello,
EDIT:
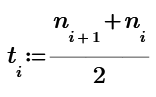
I understand that in the first case I take for i a column matrix:
And in the second case I take:
How to loop the n column matrix in t?
Solved! Go to Solution.
You are using i+1, t[i must from 0 to length(n)-2.
