Community Tip - If community subscription notifications are filling up your inbox you can set up a daily digest and get all your notifications in a single email. X
Hi everyone,
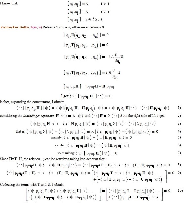
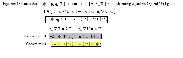
I am reconstructing, in a Mathcad 15 worksheet, the proof of a theorem but the result gives me the wrong sign. Can anyone tell me where the mistake is? See photos:
Solved! Go to Solution.
eq 17 - right hand side
