Community Tip - If community subscription notifications are filling up your inbox you can set up a daily digest and get all your notifications in a single email. X
Hello,
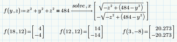
But also we can see that if:
Why Mathcad (at least Prime 8 ) does not want to show all solutions of an equation?
I agree that I'd too wish that bug reporting would be easier.
A label "Bug report" or even an own subforum here would be appropriate. But then it would be up to PTC to let scan this subforum on a regular basis, distinguish between true bugs and simple user errors (often people think about a bug in the software while they haven't studied the manual thoroughly enough and didn't use the correct syntax) and also have to categorize the various bugs according to their severeness. This means some man power which has to be paid and don't bring profit (on first sight only).
Furthermore such a forum could also be classified as damaging Prime's image by PTC, since reported bugs would be publicly viewable in this way, creating the image of severely buggy software among potential buyers. Maybe openly dealing with errors is not PTC's error culture, who knows?
Since PTC's handling of bugs is what it is, I made the decision a long time ago not to report bugs in a way that PTC approves.
Occasionally I mention software bugs here in posts and every reader is free to bring them to PTC's attention in an official way if he thinks that will make a difference.
But then ... whatever PTC approach may be, you may discuss it with THEM! As we here can not change PTC's behaviour , long discussions and moaning here about how things would be better or easier don't make much sense, I guess.
The modifier you may be looking for is "fully"
As you can see the new (since Prime 6) symbolics is pretty faulty as _z2 and _z should be the very same!!
The older symbolic (which is still available in Prime 6 ) is a bit better
It means that you can freely chose y (=_z1) and z (=_z) and you get two valid solutions for x.
Of course this is the very same you could get with
And don't ask for integer only solutions - Prime will not be able to solve diophantic equations. Using the modifier assume, ALL=integer" or the like will not help!
You second equation is too much for Prime
but you may use
which seems to give you for any value x an infinite number of (usually non-real) solutions for y, depending on the chosen value of _n.
BTW, you ask a myriad of "Why... " and "How to ..." question but you tend to not come back timely to comment on the answers given and close the threads. Looks like you have at least five parallel threads still not closed.
