Community Tip - Did you get called away in the middle of writing a post? Don't worry you can find your unfinished post later in the Drafts section of your profile page. X
The professor ask to write the equation and the values. Is it possible it Mathcad?
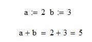
for example I want to write a+b=2+3= and get the answer a+b=2+3=5
Not write:
a:=2 b:=3
a+b=5
Solved! Go to Solution.
Well, kind of. There's a symbolic key word, "explicit" that can do that. In Prime 3.0 you get
In version 15 you can change the arrow and hide the key words:
Mathcad 15
Thank You for reponses it helped
But better us
a:=b+c=3kg
where
b=1kg
c=2000 mg
