Community Tip - You can subscribe to a forum, label or individual post and receive email notifications when someone posts a new topic or reply. Learn more! X
Hello Everyone.
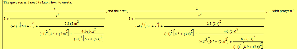
From:
Thanks in advance for your time and help.
Best Regards.
It would help if we understood what your trying to accomplish. A good introduction would help.
