Community Tip - Visit the PTCooler (the community lounge) to get to know your fellow community members and check out some of Dale's Friday Humor posts! X
hello everyone I try to use help quick sheets and I wrote the following eq but I get the red line almost for all the results and I do exactly step by step im sure there is something missing here but I can not find it could you check it out and let me know what's is the problem
plz check the attachment
Solved! Go to Solution.
Please attach your worksheet containing the equation.
Success!
Luc
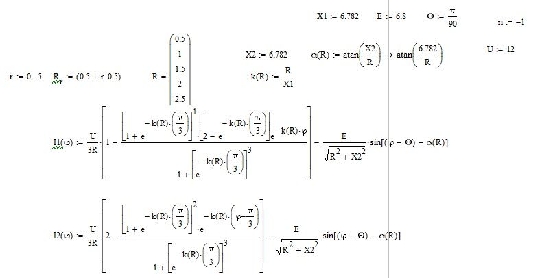
thank you for response I figured out , and I wrote it down, my question is , how this output plot change depend on R value, I mean I would like to add variable value of R from 0.1 to 5 ohm . in attached file r is fixed but I want make a loop with 5 different value of R .
thank you in advance
See this discussion: https://community.ptc.com/t5/PTC-Mathcad/Plotting-a-family-of-curves/m-p/43766
hank you for help but I could not find my answer , I need to find the out put with 4 different value of R I already made a R vector BUT I could not find solution
thank you for response I figured out , and I wrote it down, my question is , how this output plot change depend on R value, I mean I would like to add variable value of R from 0.1 to 5 ohm I attached the file .
thank you in advance
You will have to turn all constants which depend on R into functions of R and add R as additional argument to your existing functions.
I show it here for the first few expressions
I applied all the change you said and simplified the eq please check the plot . I made a R vector and it applied to all equation but as you see in picture it make no sense to me I need to show how I(current ) change due to different R, for that I need a 3 value plot which show G,I,R I tried 3d plot but it said value not defined could you explain how to make it
You did NOT apply all necessary changes.
What you show here is I's only dependent on phi, not on R.
From your remark I understand that you essentially need a 3-d plot. In that case follow my example of this thread: https://community.ptc.com/t5/PTC-Mathcad/equation/td-p/631776
Success!
Luc
this is almost the same eq that I post with some change it end up like that I used you example to write R vector but how to use G plot depend on fi and R I don't understand. please check the attachment there is 6 equations and I cant not apply those change to all of them
"there is 6 equations and I cant not apply those change to all of them "
Unfortunately, sometimes, to make the changes we need to requires a lot of modifying. Mathcad (15 and before) had a very robust and extremely useful "Find and replace," function for these kinds of changes. The one available in Prime is woefully underpowered and inadequate for the task.
Sorry! Start editing.
I don't know how to apply to all equation I've try as you said but not working
Attach your worksheet, saved as a Mathcad 11 .MCD file and I'll see if I can help you.
Success!
Luc
I really appreciate this. thank you so much , I do my best to learn Mathcad , every example you guys give I learn something new.
Nice!
...' irritation loop '...
well chosen designation, or typo?
Luc
@LucMeekes wrote:
Nice!
...' irritation loop '...
well chosen designation, or typo?
Luc
It should read "irritating loop", but 'irritation loop' is not so far away from what I had in mind 😉
Actually I am famous for my typos 😉
Oh, and I thought you had meant to write:
'iteration loop'
😲
There are two remarks to be made regarding the definition of the function G(phi):
There is a FOR loop that uses loop variable n, but n is not used further in the function.
There is a number of IF statements, covering the range 0 to 2pi, but what if phi is <0 or > 2pi...? You need an OTHERWISE.
Success!
Luc
Once more. Here's an example for a (plot of) a function of two variables:
luc thank you with response , IF function I use because each I (current ) has specific interval for example I2 FROM PI/3 TO 2PI/3 only that means each I has own phi just I need to check and study how R can effect current in equation
