Community Tip - You can change your system assigned username to something more personal in your community settings. X
Buen dia comunidad, tengo un problema del grafico de una seccion rectangular donde deseo graficar segun las coordenadas de un matris como se ve en el archivo adjunto, por favor si alguien me pueda oreintar. Version de Mathcad prime V.10.
gracias...
Solved! Go to Solution.
Leider verschweigen Sie viele Informationen!
So erklären Sie nicht die Bedeutung der Werte 16 mm und 0 mm in ihrer Matrix.
Außerdem sagen Sie nicht, welche Bedeutung die Variable d.estr hat. Von der Bezeichnung her könnte es sich um den Duchmesser der roten Kreisscheiben handeln. Allerdings legen die Dimensionen in der Zeichnung eher die Vermutung nahe, dass es sich um deren Radius handelt.
Warum Sie in Ihrem Versuch mit dem Ausdruck rechnen ist ebenfalls unklar. Bedauerlicherweise beschreiben Sie mit keinem Wort, wie genau die Lage der Kreise sein soll. Einfach nur lapidar zu sagen "wie in der Skizze" ist doch etwas billig und nachlässig.
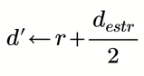
Wenn d.estr der Durchmesser der Kreise sein soll, dann wäre ja
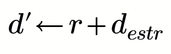
erklärbar und sollte aber d.estr der Radius sein, würde
eine gewisse Logik inne haben.
Ich habe bei meinem Ansatz d.estr als Radius verwendet und die Kreise so platziert, dass sie das innere blaue Rechteck berühren.
Außerdem wurde entsprechend der von Ihnen beigefügten Skizze der Ursprung des Koordiatensystems in die Rechteckmitte gelegt:
Die Werte in Ihrer Matrix M.barras wurden nur insofoern berücksichtigt als ein Kreis nur dann gezeichnet wird, wenn der Wert der Matrix an der entsprechenden Stelle ungleich Null ist.
BTW, I just noticed the the English translation of my German text which is offered by the green button here is horrible compared to the translations provided by Google translate or especially DeepL.
So I would suggest we should both accept that this forum is English based and we should try our best providing our text in English right away.
Using the aforementioned translation sites seems to be a better idea than to rely on the translation facility here in the forum.
Leider verschweigen Sie viele Informationen!
So erklären Sie nicht die Bedeutung der Werte 16 mm und 0 mm in ihrer Matrix.
Außerdem sagen Sie nicht, welche Bedeutung die Variable d.estr hat. Von der Bezeichnung her könnte es sich um den Duchmesser der roten Kreisscheiben handeln. Allerdings legen die Dimensionen in der Zeichnung eher die Vermutung nahe, dass es sich um deren Radius handelt.
Warum Sie in Ihrem Versuch mit dem Ausdruck rechnen ist ebenfalls unklar. Bedauerlicherweise beschreiben Sie mit keinem Wort, wie genau die Lage der Kreise sein soll. Einfach nur lapidar zu sagen "wie in der Skizze" ist doch etwas billig und nachlässig.
Wenn d.estr der Durchmesser der Kreise sein soll, dann wäre ja
erklärbar und sollte aber d.estr der Radius sein, würde
eine gewisse Logik inne haben.
Ich habe bei meinem Ansatz d.estr als Radius verwendet und die Kreise so platziert, dass sie das innere blaue Rechteck berühren.
Außerdem wurde entsprechend der von Ihnen beigefügten Skizze der Ursprung des Koordiatensystems in die Rechteckmitte gelegt:
Die Werte in Ihrer Matrix M.barras wurden nur insofoern berücksichtigt als ein Kreis nur dann gezeichnet wird, wenn der Wert der Matrix an der entsprechenden Stelle ungleich Null ist.
BTW, I just noticed the the English translation of my German text which is offered by the green button here is horrible compared to the translations provided by Google translate or especially DeepL.
So I would suggest we should both accept that this forum is English based and we should try our best providing our text in English right away.
Using the aforementioned translation sites seems to be a better idea than to rely on the translation facility here in the forum.
Hi @DC_11916766,
I wanted to see if you got the help you needed.
If so, please mark the appropriate reply as the Accepted Solution. It will help other members who may have the same question.
Of course, if you have more to share on your issue, please pursue the conversation.
Thanks,
Anurag
