Community Tip - If community subscription notifications are filling up your inbox you can set up a daily digest and get all your notifications in a single email. X
Please attach your Prime worksheet, not just a picture! (And please state which version of Prime you are using).
Don't start new threads for the same question, you can answer in the same thread.
Success!
Luc
Other than that, the answer is found by:
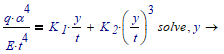
Most probably it is:
or, in Prime Express, and numerically:
Success!
Luc
thank you
