Community Tip - If community subscription notifications are filling up your inbox you can set up a daily digest and get all your notifications in a single email. X
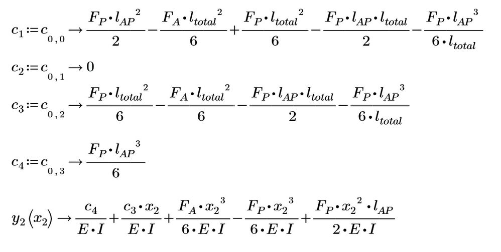
so im still working on this beam template and i keep bumping my head against the wall, now im trying to include those c.1 c.2 c.3 c.4 (that you guys helped me find. 🙂 ) in my final function
Hi,
There is a better way using Odesolve() to solve the equation for deflection.
Beam of "Ls" span, of "E" material of "Iz" moment of inertia.
Point load of "P" applies at "a" distance from left hand side.
Beam is simply supported at each end.
This is a Mathcad 15 file and it does not convert well to Prime as the double dash in the solve block does not translate to Prime.
I am trusting the community can help with the translation of the file as it is a simpler solution to the problem.
Cheers
Terry
@terryhendicott wrote:
I am trusting the community can help with the translation of the file as it is a simpler solution to the problem.
Here you are:
Worksheet in Format P5 attached
Hi,
Here is the example with diagrams and words added.
Cheers
Terry
Were you looking for this?
Success!
Luc
Hi,
Using conjugate beam theory you can also calculate the deflection. Note for the following to work "a" must be greater or equal to half the span.
Cheers
Terry
