Community Tip - Did you get called away in the middle of writing a post? Don't worry you can find your unfinished post later in the Drafts section of your profile page. X
I'm having difficulty solving for a variable in Mathcad prime 3.1
Could you please let me know?
Thanks
Please attach the worksheet with your problem. That should allow us to help you.
Success!
Luc
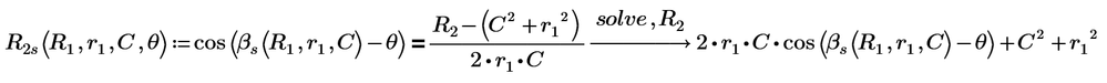
I find this:
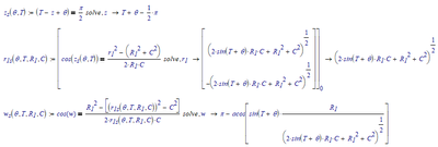
There are two solutions for t.3s.
You find none, maybe because in your solve block the labels of t.3 are different.
The guess value t.3 is labelled 'variable', while the t.3 in the constraint is labelled '-' (automatic).
Make them have the same label and see what happens.
For your R.2s solving, a similar thing happens. The labels for R2 are the same, but those of r1 aren't. Correct that and see what happens.
Success!
Luc
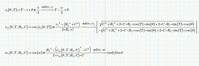
My issue is down here
This one and downwards.
Could you please let me know?
You (may) have to choose one of the two solutions for r.1s.
I chose the first one, to get:
Success!
Luc
