Community Tip - Did you get an answer that solved your problem? Please mark it as an Accepted Solution so others with the same problem can find the answer easily. X
I'm trying to find the effective stress, I wrote a program in mathcad however the result was zero always
I think the error occurs because of the depth . Since I need to use the previous depth of each stress and not the depth in the same point.
Can anyone please help me?
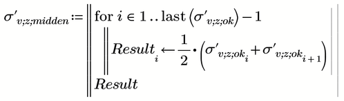
Also I need to find the midden value but not sure how to find that
in excel
in mathcad
Solved! Go to Solution.
A for-loop needs at least a start and a stop value (like a range).
Are you looking for this
or should it rather be this
And then
No need for defining any range variables like i.n or j.n
Prime10 sheet attached
Please upload your Mathcad Prime worksheet here.
You probably want:
rather than
(I can't test it as I only have an Express version).
thank u
A for-loop needs at least a start and a stop value (like a range).
Are you looking for this
or should it rather be this
And then
No need for defining any range variables like i.n or j.n
Prime10 sheet attached
Thank you
thanks
