Community Tip - Need to share some code when posting a question or reply? Make sure to use the "Insert code sample" menu option. Learn more! X
Hello.
I've been trying solve 5x5 matrix for some time method of newton but something is not correct. Anybody can help?
The vector x in your program has only three elements but the function newton/F requires a 5-element vector.
If I correct this by setting x as 5-element vector with all 1's I get a singularity errror because the matrix created by F ist not invertible.
You may have to check the algorithms used.
Hi,
please check now my solution. Something is wrong but it is better now.
Your program uses a function f.x which never is defined.
@ptc-3682623 wrote:
Now is ok. I've done but allways I have 0. Why?
Because for any vector x and any value t. So newton always returns a vector with all zeros.
You should always test your functions with dummy data to see if they do what they are intended to.
Thanks for help. Would you mind telling me how many is t for a sample in attachment?
@ptc-3682623 wrote:
Thanks for help. Would you mind telling me how many is t for a sample in attachment?
Sorry, but I don't understand your question.
As written above the value of t does not matter at all and so far I see nothing has changed in your sheet in that respect.
Hi
would you mind seeing what I do wrong in sample?Why have I differences results?
Hi!
Hereafter, there are some examples that use the Newton algorithm. Lastly, there is also one related to your problem. But it is the only one that is not soluble in the presence of a singularity.
Greetings
FM
... in fact my results are very strange ... just look at the two examples attached.
Hi,
You can get the same results without calculating the Jacobian inverse matrix. See the following program:
Hi
Thanks for help. But now I have special sample on the 30 page. Could you help me?
Hi ptc-3682623,
Answer to the first question:
Second question: Lambda is not defined.
Thanks:) Please look at attachment. You will find what I want to do with my calculation. On page 27th.
Hi,
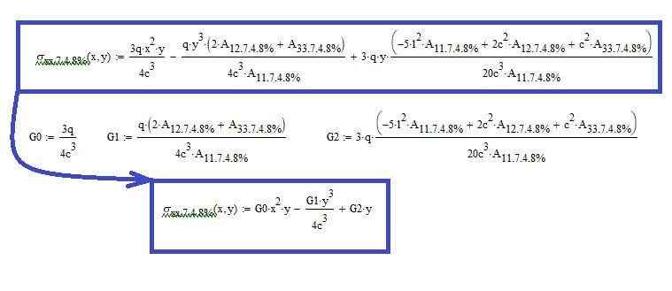
To simplify the calculations and to reduce the calculation time, it is convenient, both for me for an easy understanding, but also for you, for example, to simplify and reduce expressions and equations in this way:
furthermore, since the letter l is easily confused with the number one, it is advisable to change the font only for that character by assigning it to user1 through the format equation panel shown here:
