Community Tip - If community subscription notifications are filling up your inbox you can set up a daily digest and get all your notifications in a single email. X
Pease help me i am attching the file. 1.2.2 graphs are not continuous.I am using MATHCAD Prime 9.0.0.0 @ptc community
Please don't attach a large and slow 42 page file if the problem is already located at page 5 or 6!
I see no reason why you should use interpolation!
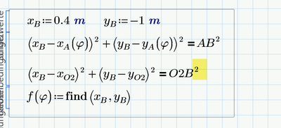
You missed to type an exponent 2, so the second equation does not seem to be considered at all.
After fixing this, your solve block can't find solutions for a wider range of angle phi.
Do you expect solutions in the full range of 0° to 360° ??
And in the ranges where a solution is found, you again see discontinuities. Reason seems to be that your system of equations has at most two different real solutions and it depends on the guess values which one Primes numeric algorithm will arrive at.
Can you name any constraint which would make the solution unique? Then you could add this constraint in the solve block.
I need graph something like this from B to F. I put Square 2 but software mentioned error no solution was found. Try changing the guess values or the value of TOL or CTOL
@MA_10994893 wrote:
I need graph something like this from B to F.
Not with the solve block you had set up.
Here is what your first solve block calculates:
The center of the red circle (radius AB) is positioned on the black dotted circle (center=origin, radius O1A). Position of center of red circle is determined by the angle phi.
Your solve block then tries to find one of the two points of intersection of the red circle with the green circle (center xO2/yO2, radius O2B). Which of the two intersection points is returned depends mainly on the guess values you provide.
The picture shows the situation for phi=30 degree and the point found by the solve block is plotted in orange. Its quite clear that you get no real solutions (the solve block will fail) for most angles of phi.
You sure can't expect a sine wave for the x- and y-coordinates of that point of intersection!
Prime 9 sheet attached
Can I send you data set values and figure 9 and sample file. Can you help me And make and new file but as headings mentioned in dataset1.fig9 file. I need till Monday otherwise I'll not graduate this is my last chance.
I can help with usage and handling of Mathcad but unfortunately not with your particular application, of which I have no knowledge or expertise.
That said, I could explain why your solve block returns no solution for a wide range if phi values (from a pure geometry point of view), but I can't help fixing the equations in your solve block.
At the x-axis expression you are missing the column selector (0).
And of course you should have defined a specific value for phi.
yeah i did but same error
@MA_10994893 wrote:
i putted phi value eoo but error as shown in figure
Can't say much from the pic. I guess phi is defined as being 300 degree!?
What do you get when you type A(phi)= or A(300 deg= ?
From what you have shown you should get a two column vector with values - unless of course one of the various solve blocks involved can't find a solution for the angle 300°.
In case one of the solve block failing is the cause for your problem, it may help to redefine the solve block function using a try...on error statement.
Hello @MA_10994893,
It looks like you have some responses from some community members. If any of these replies helped you solve your question please mark the appropriate reply as the Accepted Solution.
Of course, if you have more to share on your issue, please let the Community know so other community members can continue to help you.
Thanks,
Community Moderation Team.
Hi there, please check below figure i getting error ' this value must be a function'
