Community Tip - Did you get an answer that solved your problem? Please mark it as an Accepted Solution so others with the same problem can find the answer easily. X
To all
I was writing a couple of simple transfer functions in a document when it crossed my mind to check if Mathcad 15 could change the fraction to a partial fraction form - some kind of intellectual (professional?) curiosity more than anything. Of particular interest was to check if I could get the residual (of the fraction).
Well it does not quite work out-of-the box. Most likely a reflection of me not using the defined keywords correctly but I expected mcad 15 to return a better partial fraction (based on the examples).
What is wrong syntax-wise?
thanks
Solved! Go to Solution.
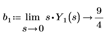
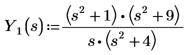
How about
or
Thanks for the tips/attempt. I am clearly doing someting wrong because if I try to replicate your example, I get a very lengthy & complex answer. different to the one you shown. Maybe a different setting. In any case it seems that what i had in mind cannot be done simply/directly with mcad 15.
d'ooh. That's what happens when one is trying to do a quick-ckeck and not pyaing attention!
Thanks
