Community Tip - When posting, your subject should be specific and summarize your question. Here are some additional tips on asking a great question. X
to all math experts out there,
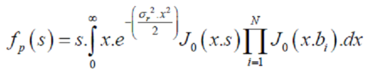
Does anyone know how on earth one "plots" the function shown on the attached mcad sheet?
I have no idea what it means. I just picked up from a paper and I am just a bit curious.
Thanks
Solved! Go to Solution.
Your Mathcad 15 sheet:
------------------------------------------------------------------------------------------
Mathcad 15 - zeroth-order Bessel function of the first kind:
Your Mathcad 15 sheet:
------------------------------------------------------------------------------------------
Mathcad 15 - zeroth-order Bessel function of the first kind:
Thanks a lot for that. Appreciated. Thanks also for the corrections!
I frankly do not know what I am looking at so I'll take it as face-value
