Community Tip - Did you get an answer that solved your problem? Please mark it as an Accepted Solution so others with the same problem can find the answer easily. X
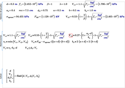
You are trying to solve for ΦcVc, but your equations don't contain any such variable! Try solving for Φc then calculate Φc*Vc,
You don't need Vc1 and Vc2 in the constraints section as you have already fixed them in the guess values section, and they don't depend on any of the variables you are solving for.
Alan
What a mess!
I would suggest that you clean up first and use the solve block as it was intended.
Move all assignments of variables which do not depend on the variables you solve for in front of the solve block.
The top section of the solve block should only contain the guess values for the variables you want to solve for.
You use Vc3 but you neither define it nor is it a variable you want to solve for. This does not work, hence the error.
Either use Vc3 additionally as one of the variables you are solving for or turn it into a function of d and bo and use this function in the solve block.
You may also decide to get rid of variable bo and turn it into a function of d. So you have on variable less to search for.
As Fred already has written you can't solve for the product of two variables. Decide which variable you will be looking for!
I also spotted a unit mismatch in one of your equations:
I guess that Vu should be pressure (the guess value is missing), but the right hand side is force!
