Community Tip - Did you get called away in the middle of writing a post? Don't worry you can find your unfinished post later in the Drafts section of your profile page. X
Good morning community, I am trying to solve equations that have variables and constants without success. Please if someone can help me. Thank you. Mathcad Prime 8.0.0 File
Translated by the Community Moderation using Google Translate
Buen día comunidad, estoy tratando de resolver ecuaciones que tienen variables y constantes sin éxito. por favor si alguien me pueda ayudar. Gracias. Archivo Mathcad Prime 8.0.0
Solved! Go to Solution.
Original, meaningful file name!
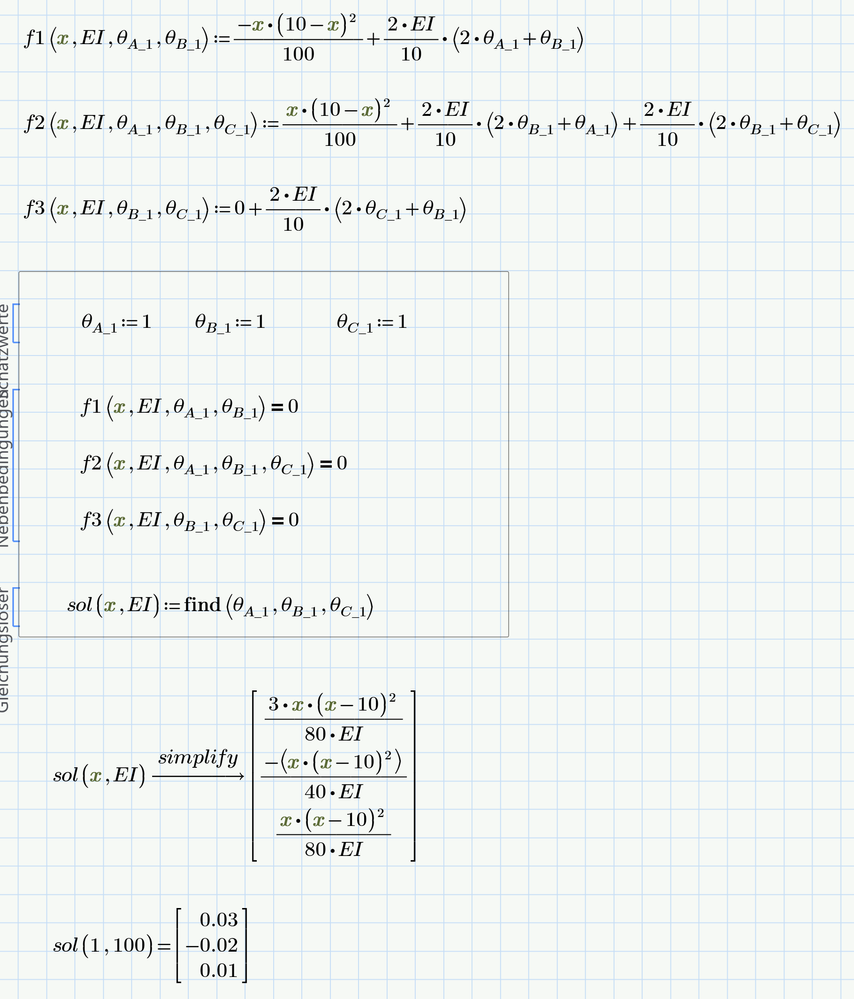
The error marked in red comes from the numerical system in Prime, because EI is not defined.
Therefore, the solution block can only be evaluated symbolically and not numerically. The error can be ignored.
I would also suggest parameterizing the solution block, i.e. running it as a function of EI. This allows "sol" to be evaluated later for each value of EI.
However, you have made a serious mistake: the notation x(...) in Prime means calling a function x. But what they meant is a simple multiplication. In this case you have to enter the multiplication point explicitly.
Translated by the Community Moderation using Google Translate
Origineller, vielsagender Dateiname!
Der rot markierte Fehler stammt von dem numerischen System in Prime, weil ja EI nicht definiert ist.
Daher lässt sich der Lösungsblock auch nur symbolisch und nicht numerisch auswerten. Der Fehler kann dabei ignoriert werden.
Ich würde auch vorschlagen, den Lösungsblock zu parametrisieren, ihn also als Funktion von EI auszuführen. Dadurch kann dann "sol" für jeden Wert von EI später ausgewertet werden.
Sie haben allerdings einen groben Fehler eingebaut: Die Schreibweise x(...) bedeutet in Prime den Aufruf einer Funktion x. Was sie meinten ist aber eine simple Multiplikation. Sie müssen in diesem Fall also den Multiplikationspunkt explizit eingeben.
Original, meaningful file name!
The error marked in red comes from the numerical system in Prime, because EI is not defined.
Therefore, the solution block can only be evaluated symbolically and not numerically. The error can be ignored.
I would also suggest parameterizing the solution block, i.e. running it as a function of EI. This allows "sol" to be evaluated later for each value of EI.
However, you have made a serious mistake: the notation x(...) in Prime means calling a function x. But what they meant is a simple multiplication. In this case you have to enter the multiplication point explicitly.
Translated by the Community Moderation using Google Translate
Origineller, vielsagender Dateiname!
Der rot markierte Fehler stammt von dem numerischen System in Prime, weil ja EI nicht definiert ist.
Daher lässt sich der Lösungsblock auch nur symbolisch und nicht numerisch auswerten. Der Fehler kann dabei ignoriert werden.
Ich würde auch vorschlagen, den Lösungsblock zu parametrisieren, ihn also als Funktion von EI auszuführen. Dadurch kann dann "sol" für jeden Wert von EI später ausgewertet werden.
Sie haben allerdings einen groben Fehler eingebaut: Die Schreibweise x(...) bedeutet in Prime den Aufruf einer Funktion x. Was sie meinten ist aber eine simple Multiplikation. Sie müssen in diesem Fall also den Multiplikationspunkt explizit eingeben.
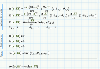
Agradecerle por la atención, En este caso cual seria el error por que estoy tratando de probar con todas las etiquetas,. Seria tan amable de aclarar con que etiqueta se pone a cada uno. Gracias. Estoy trabajando con Mathcad Prime 8.0
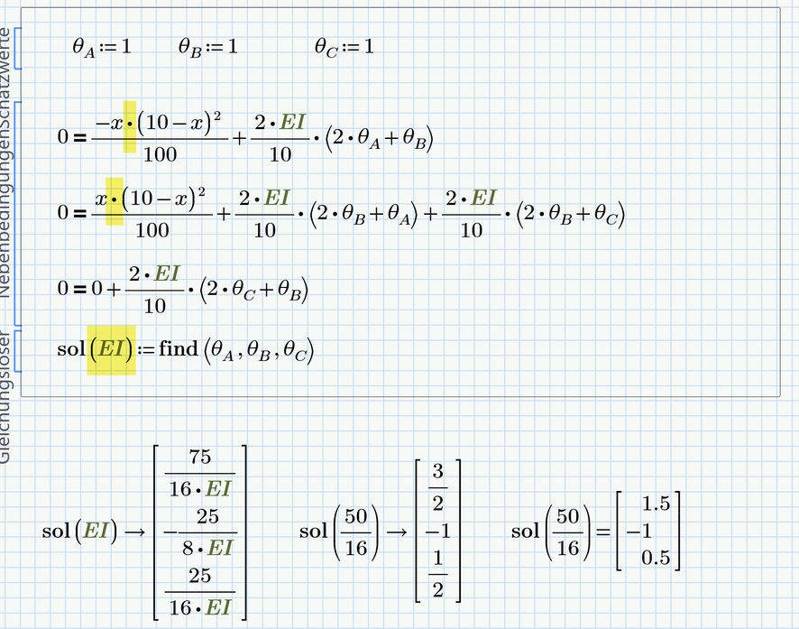
1) There is no need to manually label the function names f1, f2 and f3 to be "function" and its also not necessary to label EI and x as being a "constant". You simply can use what Prime automatically assigns, which usually will be "variable" (or "(variable)" or "-").
2) The functions f1, f2 and f3 should also use the various theta... as their arguments
3) The functions you define are just used in the solve block but are not an essential part of the solve block itself, so I feel they should be defined in front of the block. Inside the solve block you put the initial guess values, the equations and maybe additional constraints like "theta.A_1 > 0" or the like. (Its not a failure to define the functions inside the solve block, I just feel that it should not be done).
I can't post a Prime 8 worksheet as i never had installed P7 or P8 and my P6 can't open your P8 file. So here is a screenshot which shows all - none of the variables is labelled as "constant" or as "function" throughout.
The numeric evaluation at the and does NOT use the symbolic result which you see above - instead the solve block is re-evaluated numerically using the guess values you provided (these guesses are not used when evaluated symbolically).
So the better option IMHO is to symbolically evaluate the "find" command inside the solve block. Now you don't need any guess values at all and the numeric evaluation uses the exact symbolic result.
!! One additional remark: Former versions of Prime were not able to symbolically evaluate a solve block. I can't remember which was the first version which allowed the symbolic eval of solve blocks (again - as this was already allowed for ages in good old real Mathcad).
So maybe symbolic evaluation of solve blocks is not allowed in Prime 8 - don't know.
If that's the case you still should be able to numerically evaluate the function "sol".
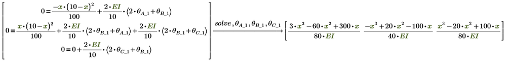
But to see a symbolic result you have to use the symbolic "solve" command as shown below (the three equation must be put in a 3x1 matrix/vector):
Note that on contrary to the solve bock "find" the results are arranged in a row vector now. If you prefer a column vector you may simply redefine the function using the transpose operator:
Prime 9 worksheet attached (for whatever it may be worth 😉 )
@Werner_E wrote:
!! One additional remark: Former versions of Prime were not able to symbolically evaluate a solve block. I can't remember which was the first version which allowed the symbolic eval of solve blocks (again - as this was already allowed for ages in good old real Mathcad).
So maybe symbolic evaluation of solve blocks is not allowed in Prime 8 - don't know.
Mathcad Prime 9 is the first that allowed symbolic solving in solve blocks.
Thank for the clarification.
This explains why his attempt in P8 failed.
