Community Tip - When posting, your subject should be specific and summarize your question. Here are some additional tips on asking a great question. X
Hello everyone! I've already tried to solve in a block, it seems that something is missing, I'm waiting for your solutions, a lot of thanks
One possible and quick solution would be without units of measurement:
it worked, thanks
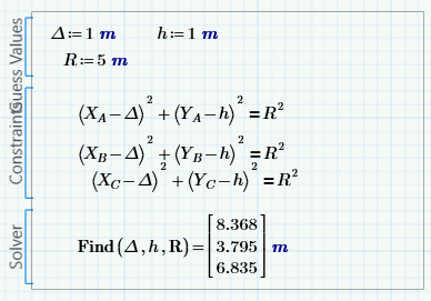
Note that you need only three guess values, when solving for three variables. (Delta, h and R).
The values for X.A,B,C & Y.A,B and C are 'knowns', and can be placed above (outside of) the solve block.
Success!
Luc
If you need to solve more problems like this, you can take the following approach:
Success!
Luc
