Community Tip - Need to share some code when posting a question or reply? Make sure to use the "Insert code sample" menu option. Learn more! X
Can anybody please help. 🙂
i cant seem til solve this one.
Determine the value of R3 when the generator delivers maximum current.
Determine the power dissipated in the generator's windings when it delivers maximum current.
Solved! Go to Solution.
Looks like I was drawn away by this thread and got lost...
Coming back to the original question we can say that just two errors have to be corrected:
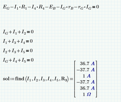
1) wrong index 5 in one of the node equations
2) wrong value for IG was provided - it must be 21 A and not 1 A
Fixing these two makes the solve block work and yields the correct result for R3. No other changes necessary.
Not Checked if correct!
But write some node equations to get the summation of currents at the nodes:
In your system there always will be I3= IG and R3 is not used at all and will remain at its guess value.
EDIT:
This thread has been developing for a very long time, but in the end there are only two changes to be made in your sheet.
1) I.G musr be 21 A and not juts 1 A
2) In your second node equation you have to change the index 5 to 4
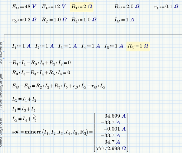
Given your input values, R3 would come out as being infinite! Thats the reason the solve block fails.
Slightly changing one of the input values (in the picture I had chosen to change R1) and increasing the guess value for R3) makes the solve block work and we see that R3 is already pretty large.
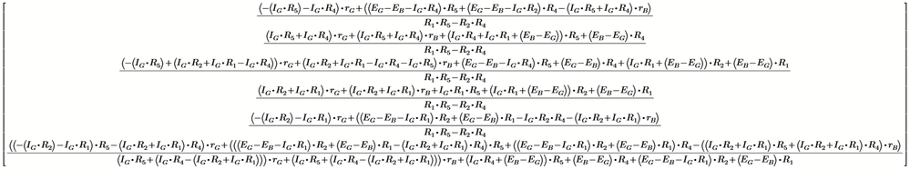
You could also solve the system symbolically
The last expression for R3 throws a division by zero error if evaluated with your input values.
BTW, the result given with the slightly altered value for R1 is quite similar to what we get if we use "minerr" instead of "solve".
But I guess that you should rather check your input values and/or the correctness of your equations.
Shouldn't it be I1=I3+I4 and not I1=I3+I5 ???
In this purely resistive system, none of the currents should be larger (in absolute value) than the maximum current that the generator can deliver: 21 A.
Luc
@LucMeekes wrote:
In this purely resistive system, none of the currents should be larger (in absolute value) than the maximum current that the generator can deliver: 21 A.
Luc
Good argument 😉
Hey Michael,
You can do:
Then:
and:
now you can solve for maximum Ig:
And then calculate:
(Plot:
)
I think you can work out the power loss in the generator yourself.
Success!
Luc
The solution to Task 2.1 is not 0 ohm because the current the generator can deliver is limited to 21 A according to what the poster wrote (the information also seems to be in that Danish text in the picture).
The solution for 2.1 was already given by @LucMeekes and later also by @ppal .
But we get the same results as yours with the very equations @MP_11950640 had set up (apart from the wrong node equation which I already mentioned and which may be a typo).
Main error was the the OP used a fix constant value of 1A for IG and solved for R3 while he rather should have solved for IG and make the solve block dependable of a variable R3.
Now that we have a function IG(R3) its easy to determine the resistance which yields the 21 A. We can use 'root' to do the job
Prime 10 sheet attached
@MP_11950640 Could you work out a solution to the problem you posted here: Assistance Needed with Adjusting Axes
Looks like I was drawn away by this thread and got lost...
Coming back to the original question we can say that just two errors have to be corrected:
1) wrong index 5 in one of the node equations
2) wrong value for IG was provided - it must be 21 A and not 1 A
Fixing these two makes the solve block work and yields the correct result for R3. No other changes necessary.
Hi @MP_11950640,
I wanted to see if you got the help you needed.
If so, please mark the appropriate reply as the Accepted Solution. It will help other members who may have the same question.
Please note that industry experts also review the replies and may eventually accept one of them as solution on your behalf.
Of course, if you have more to share on your issue, please pursue the conversation.
Thanks,
Anurag
I did the network analysis assuming it is linear. I used the network topology results and applied the voltage method to the nodes:
Corrections: In the vector Vg the element EB is positive.
