Community Tip - If community subscription notifications are filling up your inbox you can set up a daily digest and get all your notifications in a single email. X
Dear forum
In Euler-bernoulli theory, I am solving numerically the frequency and mode of the problem in which both ends are supported by springs in the vertical sagging of beams. Through this, the mode of the continuous beam is intended to be represented as a picture.
In the paper for reference, the angular frequency was calculated using MATLAB's system variable 'K' and "Inline function".
MATLAB from reference.
reference) Impacts of various boundayr conditions on beam vibrations. Ye Tao, 2015
My code is as attached. I need help on how to implement this with MATCAD. When trying to implement using MATHCAD in the same way, it is difficult to solve the equation using a function and find each solution as the number of frequencies increases. Inquire about how to apply the function to this.
Solved! Go to Solution.
A good reason to state the version level when you post a file--later versions can read earlier but early can't read later. Attached pdf version, mods aren't challenging. Note Werner's improvements!
You've run afoul of Prime's dreaded labels problem, some of your K's show as bold blue--Prime thinks they're a unit rather than a variable.
You can plot the determinant of a matrix for each value of K, then solve for the roots of that equation. Example in P9 attached (without roots.)
Some observations:
etc.
Thank you very much for your response. I tried to apply the method of giving a specific range and solving the solution like your method, but I still think we need to organize more to apply the method of doing the harm and solving (understood like the false position root finding method) like the attachment.It is still difficult to find the determinant, and to find the value for each mode.
Thank you very much for your response. Unfortunately, I can't see your solution because it's a high version of the mathcad file, but I've solved it as much as I can as the attachment. It is still difficult to find the determinant, and to find the value for each mode.
A good reason to state the version level when you post a file--later versions can read earlier but early can't read later. Attached pdf version, mods aren't challenging. Note Werner's improvements!
Thank you very much for your kindness and good teaching.
You still don't say which version of Prime you are using. The attached file is in format of Prime 6.
Its not clear to me which calculation you are trying to implement.
Here some remarks:
Here is a rudimentary function which tries to get all zeros of a given function within a certain interval.
Its not perfect and has its failures.
If you increase the number of steps so no not miss any zeros which are very close, you will probably end up with some duplicates.
The same applies if you decrease the value of the variable "zeroprecision".
After all the function uses the built-in numeric "root" function which has its precision limits. to increase it you may try assigning the system variable TOL a lower values than the default 10^-3.
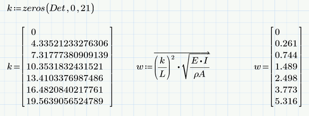
You can now use this function to get all zeros of your determinant within a given interval and calculate the appropriate w -value:
Prime 6 file attached. Use at your own risk 😉
I'm trying to press Accept solution, but I can't use it again.
Thank you very much for your kindness and good teaching.
