Community Tip - Did you get an answer that solved your problem? Please mark it as an Accepted Solution so others with the same problem can find the answer easily. X
Dear PTC Community,
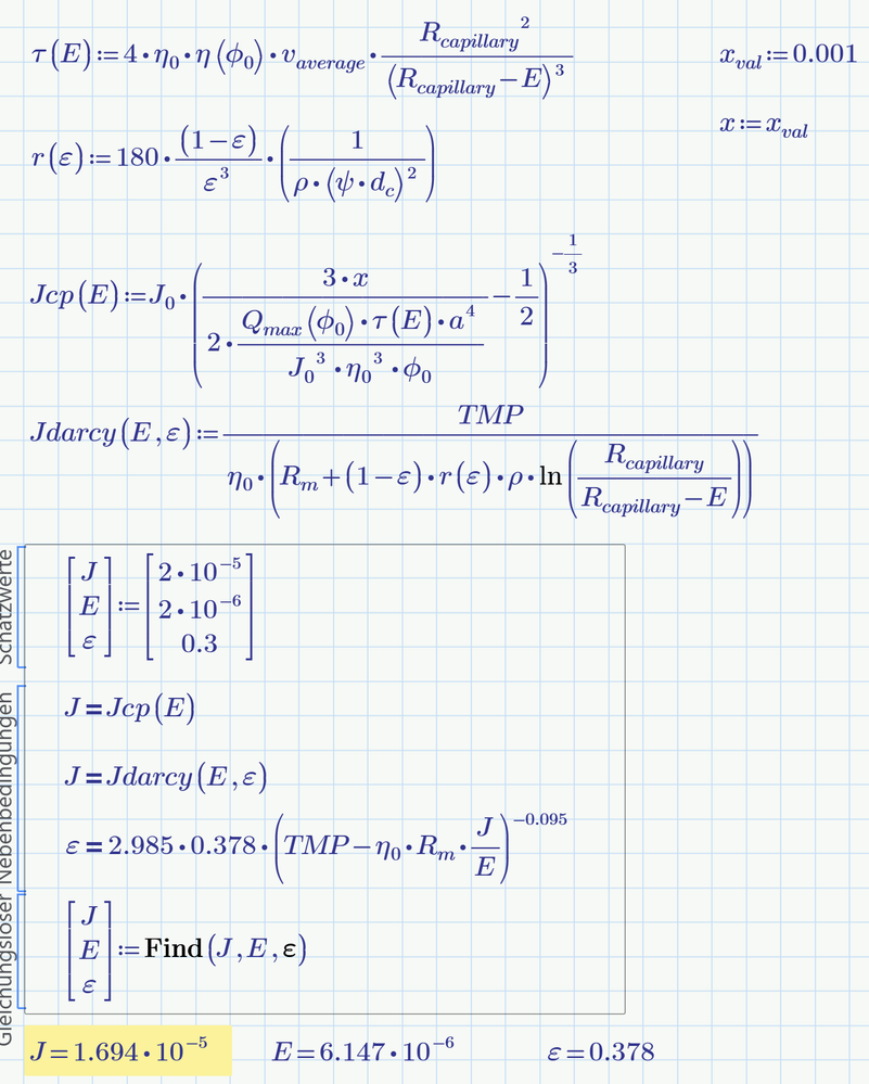
I am working on a system of coupled nonlinear equations and attempting to solve it using a Mathcad Prime 7.0.0.0 Solve Block. The solve block runs without errors and returns numerical values for my unknowns. However, when I validate the solution outside the solve block, I find that one of the variables ( J), which appears in two different model equations, gives two different values when recalculated. I expected these equations to converge to a consistent solution for J, but they do not.
In other words, even though the solve block returns values for three different variables (J, E, ε), the two J expressions do not evaluate to the same value of J when I recompute them using the solved ( E and ε).
I have attached my Mathcad file.
Could someone please review it and help me understand why the solve block returns a result but the two governing equations do not match when checked afterwards?
I would be very grateful for your insight.
Kind regards,
Tadele
Solved! Go to Solution.
I do not have version 7 to hand at the moment so solved it in version 11 and will use screenshots.
Amend the solve block so it has only two variables E and ε.
Equate the two equations for J and substitute equations for Tau and r into the two equations that are left.
Then the correct J's can be calculated.
Cheers
Terry
I do not have version 7 to hand at the moment so solved it in version 11 and will use screenshots.
Amend the solve block so it has only two variables E and ε.
Equate the two equations for J and substitute equations for Tau and r into the two equations that are left.
Then the correct J's can be calculated.
Cheers
Terry
Thank you very much, Terry! It helps a lot. As I begin to expand this model, I hope you can help if I have any additional questions.
Kind regards,
Lenin
The reason you get wrong results is because of your definition of variables tau and r. These calculations just use the guess values you provided for E and epsilon and do never change!
I would suggest to turn tau and r into functions (in front of the solve block) and use them in your equations. As I don't have Prime 7 installed I can only provide screenshots, but I attach the Prime 11 file in case some kind soul is able and willing to convert it to P7 format.
You may also consider turning Jcp and Jdarcy into function and use them in your solve block:
You may use functions until your task does depend on one variable only, I had chosen variable E. So you just have to search for the value of E and can use this value to calculate J (and if necessary also epsilon). For equations in just one variable you could also use the "root" command.
You have to decide if this approach makes the calculations less clear or not.
This amazing, Werner. As it gives more flxibility in usage. I still have to expand this model and I can rely on your reply. I hope you might want to help if I have further question related to this calculation.
Kind regards,
Lenin
You are welcome!
Feel free to open a new thread and ask your questions if you encounter problems with the usage of Mathcad when you expand your model.
Here's some kind soul with the translation of your file. For some reason a region got corrupted in the process.
Success!
Luc
@LucMeekes wrote:
Here's some kind soul with the translation of your file. For some reason a region got corrupted in the process.
Success!
Luc
Thanks!
The corrupted region is a text region where I used superscripts, which are not yet available in Prime 7.
Thank you very much, Luc! I now have a working Mathcad file.
Kind regards,
Lenin
