Community Tip - Did you get called away in the middle of writing a post? Don't worry you can find your unfinished post later in the Drafts section of your profile page. X
I have the following simple equation
And all i get is undefined....
Any ideas?
This is what I can see from my side in prime 9:
I dont understand why mine says undefined.
I can make it solve other simple equations like y = mx+b
I also changed all the variables in mine to just a , b, c, d for fun and it still says undefined
It appears i have V and D used in other parts of my sheet but i thought because i was redefining them as an equation that was allowed?
Is there a way to create a function that is isolated from other areas in your page?
That would be a really good feature of mathcad to have
It appears i have V and D used in other parts of my sheet but i thought because i was redefining them as an equation that was allowed?
Its allowed but the variables or functions still keep their assigned values as defined.
So this seems to be the root of the evil, I guess. One more reason why we would have to see the worksheet!
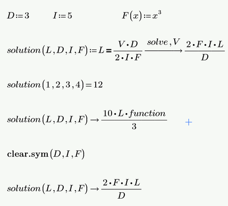
You may use clear.sym(V,D,I,F) to make these variables undefined for symbolic operations or you may use clear(V,D,I,F) to clear them completely.
Another, more elaborate way would be to turn the solution into a function of the involved variables
Any ideas?
Sure! The first idea (or better question) which comes to mind is "Why didn't he attach the worksheet so we can see if and how he defined the variables used or how they are labeled?"
On more than one occasion I've had to either retype the equation, or even copy/retype into another sheet - and then it magically works.
@DJF wrote:
On more than one occasion I've had to either retype the equation, or even copy/retype into another sheet - and then it magically works.
From what @rscott had written so far the most likely cause for the error are definitions of variables and/or function he had done in front of the failing expression he showed in the picture.
If thats true, then retyping would not help, but copying the region to a new sheet sure should. But it would be easier to use the clear.sym(...) or the clear(..) command as explained above https://community.ptc.com/t5/Mathcad/symbolic-solver-returning-undefined-for-simplest-equation-ever/m-p/944821/highlight/true#M211382
What you had in mind probably are Primes infamous auto-label failures. When you type an expression from scratch, Prime may get the labels correct, but if you start editing an expression, Prime sometimes gets confused, assigns the wrongs labels and this may cause a symbolic evaluation/solve fail. If thats the case, retyping sure can help.
