Community Tip - Did you get called away in the middle of writing a post? Don't worry you can find your unfinished post later in the Drafts section of your profile page. X
Hello, can anyone help me write this in mathcad prime? Can't seem to place "otherwise" in my equation
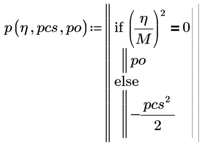
Use an "else" instead of "otherwise".
It would look like this:
Some remarks:
So it could also be written as
And if you like you may also use the if-function instead
And because program execution exits after a "return" statement, you may also write
One more option:
If you have the (original) mathcad ( .mcd or .xmcd) file that contains the function, then use Prime's built in converter to translate it to Prime.
Success!
Luc
