Community Tip - Did you get called away in the middle of writing a post? Don't worry you can find your unfinished post later in the Drafts section of your profile page. X
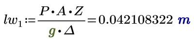
there is a problem in finding the solution of the equation in given below due to change in change in value caused by unit tonnes automatically gets converted to Kg.
Solved! Go to Solution.
Looks like you are using an empirical formula which is not unit aware!
Such formulas tell you what unit the variables must be in what unit the result would be.
To use that kind of formulas you do in Prime the same as in manual calculation - you just use the numbers without their units and add the supposed unit at result.
To do so in Prime, you must divide each variable by the unit it is supposed to be in and add the expected unit at the end.
Prime will always use the standard units and if you use a formula which is unit consistant it does not matter at all which unit you provide the input in.
In your case the only variable which is NOT expected in standard units by your formula is Delta, so it suffices to convert it accordoingly and leave the other variables with their units unchanged
But of course the best way would be to change the formula slightly so that it also expects Delta in its standad unit kg. Simply omit the scaling factor 1000
Written that way the formula seems not to be (pseudo)empirical anymore but fully unit consistent.
Looks like you are using an empirical formula which is not unit aware!
Such formulas tell you what unit the variables must be in what unit the result would be.
To use that kind of formulas you do in Prime the same as in manual calculation - you just use the numbers without their units and add the supposed unit at result.
To do so in Prime, you must divide each variable by the unit it is supposed to be in and add the expected unit at the end.
Prime will always use the standard units and if you use a formula which is unit consistant it does not matter at all which unit you provide the input in.
In your case the only variable which is NOT expected in standard units by your formula is Delta, so it suffices to convert it accordoingly and leave the other variables with their units unchanged
But of course the best way would be to change the formula slightly so that it also expects Delta in its standad unit kg. Simply omit the scaling factor 1000
Written that way the formula seems not to be (pseudo)empirical anymore but fully unit consistent.
