cancel
Showing results for 
Search instead for 
Did you mean: 
cancel
Showing results for 
Search instead for 
Did you mean: 

Community Tip - You can subscribe to a forum, label or individual post and receive email notifications when someone posts a new topic or reply. Learn more! X

Translate the entire conversation x

x + x*(2*x - x^2)^(1/2) + (2*x - x^2)^(1/2) - 1 solve , x ----> ? (Symbolic Evaluate)

lvl107
20-Turquoise

x + x*(2*x - x^2)^(1/2) + (2*x - x^2)^(1/2) - 1 solve , x ----> ? (Symbolic Evaluate)

Hello Everyone.
From :

Symbolic Evaluate.PNG


To :
       Symbolic Evaluate ? ( MC 15 )
Thanks in advance.
Regards.

ACCEPTED SOLUTION

Accepted Solutions
Werner_E
25-Diamond I
(To:LucMeekes)

This happens (more often) in MC15 as well that f(x) can't be simplified to 0 or a certain value c we know the expression should simplify to.

Also f(x)-c usually won't simplify to zero but most of the time the symbolics is able to simplify the Boolean expression f(x)=c to 1. Not sure why.

View solution in original post

14 REPLIES 14
Werner_E
25-Diamond I
(To:lvl107)

Here you are, sure very informative and useful 🙂

Werner_E_1-1746119745429.png

 

BTW, the symbolics in Prime 10 doesn't even try to get an exact symbolic solution

Werner_E_2-1746119878641.png

 

 

 

lvl107
20-Turquoise
(To:Werner_E)

***.xmcd file, please.

Werner_E
25-Diamond I
(To:lvl107)

Here you are

 

lvl107
20-Turquoise
(To:Werner_E)

Many, many thanks for ***.xmcd file, Werner. 😊

Werner_E
25-Diamond I
(To:lvl107)

Here is a much simpler derivation.
In my first attempt i overlooked that the two root-expressions are identical.

So finally its only necessary to rearrange and square just once.

Werner_E_0-1746124329128.png

 

Interesting detail: While this worked (result too large..)

Werner_E_1-1746124516636.png

the expanded form forced muPad to float mode

Werner_E_2-1746124547309.png

 

 

lvl107
20-Turquoise
(To:Werner_E)

7.PNG

 

or another :

 

 

8.PNG

Werner_E
25-Diamond I
(To:lvl107)

There is no need to use vectorization (while it does not do any harm) as x is not a vector.

As you had seen is muPad not able to simplify f(x) to 1 and you again ran into the nasty "...is too large ...".

But it seems that you can at least "prove" using muPad that the result is zero

Werner_E_0-1746128145697.png

The world isn't perfect ...

LucMeekes
23-Emerald IV
(To:Werner_E)

Prime doesn't solve problems with order above 3 symbolically.

I guess it's time PTC put that wisdom in.

 

Luc

LucMeekes
23-Emerald IV
(To:lvl107)

Ah, no problem in Mathcad 11 (NOT Prime 11). Here are the four solutions:

LucMeekes_0-1746120511308.png

Their numerical values are:

LucMeekes_1-1746120555520.png

Success!
Luc

lvl107
20-Turquoise
(To:LucMeekes)

My MC15 say :

Symbolic Evaluate 2.PNG

 3.PNG

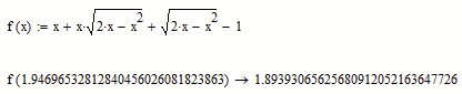
and I don't understand the solution of 1.947 ( see my graph below )

4.PNG

 

Thanks any way, Luc.😊

Werner_E
25-Diamond I
(To:lvl107)


and I don't understand the solution of 1.947 ( see my graph below )

😊

Maple in MC11 seems to be internally squaring the equation and so comes up with four solutions - similar to my modified appraoch here:

Re: x + x*(2*x - x^2)^(1/2) + (2*x - x^2)^... - PTC Community

Unfortunately, MC11 does not remove the invalid dummy solutions. See my reply to Luc below which shows where the 1.947 stems from.

 

By the way, Uncle Wolfram is also content with a numerical approximation only ...

Werner_E_0-1746129647133.png

 

.

Werner_E
25-Diamond I
(To:LucMeekes)

Nice, but not surprising that Maple outbeats muPad.

Can you make the check if all four values really are solutions to the original equations?

I'm afraid that Maple is a little too generous with such equations and also gives dummy solutions that have to be dropped as solutions when checked.

It looks to me that 0.225 is the only solution - at least the only real valued one.

I may be wrong, but 1.947 doesn't look like a solution to me

Werner_E_0-1746121863426.png

In my approach when I was helping muPad by squaring the equation a few times and so getting rid of the squqre roots I ended up with eight solutions, the last 4 seem to correspond to the solutions you got with MC11

Werner_E_1-1746122058091.png

 

EDIT: I edited my approach and now come up with an equation of fourth order, yielding the very same results as MC11.

See Re: x + x*(2*x - x^2)^(1/2) + (2*x - x^2)^... - PTC Community

It can be clearly seen that 1.947 is not a solution of the original equation but rather of a similar equation with the signs of the root-expressions being changed:

Werner_E_0-1746126844880.png

 

LucMeekes
23-Emerald IV
(To:Werner_E)

Interresting !

I haven't found a way to have Mathcad 11, when feeding back any of the symbolic solutions to the function f, to simplify the result to 0.

In all four cases the result is an expression several pages wide.

 

Luc

Werner_E
25-Diamond I
(To:LucMeekes)

This happens (more often) in MC15 as well that f(x) can't be simplified to 0 or a certain value c we know the expression should simplify to.

Also f(x)-c usually won't simplify to zero but most of the time the symbolics is able to simplify the Boolean expression f(x)=c to 1. Not sure why.

Announcements

Top Tags