MENU
Start a topic
Search
LogIn
cancel
Turn on suggestions
Auto-suggest helps you quickly narrow down your search results by suggesting possible matches as you type.
Showing results for
Search instead for
Did you mean:
English
한국어
简体中文
日本語
Please log in to access translation
All community
Knowledge
rhanet
Users
cancel
Turn on suggestions
Auto-suggest helps you quickly narrow down your search results by suggesting possible matches as you type.
Showing results for
Search instead for
Did you mean:
Close X
Community
About rhanet
since
Oct 25, 2015
rhanet
7-Bedrock
View all badges
Latest Posts by rhanet
Unsolved
/Unanswered
Posts
View More Recent Posts
View More Unsolved Posts
rhanet has no unsolved posts!
Latest posts by rhanet
Subject
Views
Posted
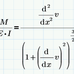
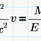
Re: Help to solve the second-order nonlinear diffe...
Mathcad
5794
Jan 23, 2019
05:05 PM
Re: Help to solve the second-order nonlinear diffe...
Mathcad
5886
Jan 22, 2019
05:46 PM
Re: Help to solve the second-order nonlinear diffe...
Mathcad
5893
Jan 22, 2019
05:36 PM
Help to solve the second-order nonlinear different...
Mathcad
6075
Jan 20, 2019
06:26 PM
Re: Create variable names automatically
Mathcad
4631
Oct 05, 2018
01:45 PM
View all
View More Recent Posts
View More Unsolved Posts
Contact Me
Contact PTC Community Management
'
Kudos given to
User
Count
Fred_Kohlhepp
1
Werner_E
1
View all