MENU
Start a topic
Search
LogIn
cancel
Turn on suggestions
Auto-suggest helps you quickly narrow down your search results by suggesting possible matches as you type.
Showing results for
Search instead for
Did you mean:
English
한국어
简体中文
日本語
Please log in to access translation
All community
Knowledge
Nykus
Users
cancel
Turn on suggestions
Auto-suggest helps you quickly narrow down your search results by suggesting possible matches as you type.
Showing results for
Search instead for
Did you mean:
Close X
Community
About Nykus
since
Jun 15, 2020
Nykus
8-Gravel
View all badges
Latest Posts by Nykus
Unsolved
/Unanswered
Posts
View More Recent Posts
View More Unsolved Posts
Nykus has no unsolved posts!
Latest posts by Nykus
Subject
Views
Posted
Re: The charts look different in Mathcad 14 and Ma...
Mathcad
2460
Sep 11, 2020
01:49 PM
Re: The charts look different in Mathcad 14 and Ma...
Mathcad
2526
Sep 10, 2020
10:06 AM
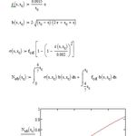
The charts look different in Mathcad 14 and Mathca...
Mathcad
2577
Sep 10, 2020
03:38 AM
Re: Plotting failed. Replace complex values and Na...
Mathcad
4397
Jun 22, 2020
10:56 AM
Re: Plotting failed. Replace complex values and Na...
Mathcad
4465
Jun 19, 2020
04:03 AM
View all
View More Recent Posts
View More Unsolved Posts
Contact Me
Contact PTC Community Management
'
Kudos given to
User
Count
Werner_E
4
Fred_Kohlhepp
1
LucMeekes
1
View all
Kudos from
User
Count
aaaaaaaa
1
View all