MENU
Start a topic
Search
LogIn
cancel
Turn on suggestions
Auto-suggest helps you quickly narrow down your search results by suggesting possible matches as you type.
Showing results for
Search instead for
Did you mean:
English
한국어
简体中文
日本語
Please log in to access translation
All community
Knowledge
AS_10102578
Users
cancel
Turn on suggestions
Auto-suggest helps you quickly narrow down your search results by suggesting possible matches as you type.
Showing results for
Search instead for
Did you mean:
Close X
Community
About AS_10102578
since
Nov 01, 2021
AS_10102578
2-Explorer
View all badges
Latest Posts by AS_10102578
Unsolved
/Unanswered
Posts
View More Recent Posts
View More Unsolved Posts
Subject
Replies
Posted
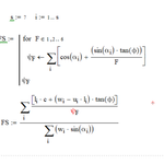
Mathcad 15 Getting Vectors From For Loops
Mathcad
6
Nov 3, 2021
2:48 PM
Latest posts by AS_10102578
Subject
Views
Posted
Mathcad 15 Getting Vectors From For Loops
Mathcad
2708
Nov 03, 2021
05:48 PM
View all
View More Recent Posts
View More Unsolved Posts
Contact Me
Contact PTC Community Management
'