MENU
Start a topic
Search
LogIn
cancel
Turn on suggestions
Auto-suggest helps you quickly narrow down your search results by suggesting possible matches as you type.
Showing results for
Search instead for
Did you mean:
English
한국어
简体中文
日本語
Please log in to access translation
All community
Knowledge
JV_10456665
Users
cancel
Turn on suggestions
Auto-suggest helps you quickly narrow down your search results by suggesting possible matches as you type.
Showing results for
Search instead for
Did you mean:
Close X
Community
About JV_10456665
since
Oct 26, 2022
JV_10456665
3-Newcomer
View all badges
Latest Posts by JV_10456665
Unsolved
/Unanswered
Posts
View More Recent Posts
View More Unsolved Posts
JV_10456665 has no unsolved posts!
Latest posts by JV_10456665
Subject
Views
Posted
Indexing issues
Mathcad
1497
Dec 30, 2022
12:26 PM
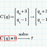
Symbolically solve a vector with vector input
Mathcad
1005
Oct 26, 2022
12:26 PM
View all
View More Recent Posts
View More Unsolved Posts
Contact Me
Contact PTC Community Management
'