MENU
Start a topic
Search
LogIn
cancel
Turn on suggestions
Auto-suggest helps you quickly narrow down your search results by suggesting possible matches as you type.
Showing results for
Search instead for
Did you mean:
English
한국어
简体中文
日本語
Please log in to access translation
All community
Knowledge
EY_10539769
Users
cancel
Turn on suggestions
Auto-suggest helps you quickly narrow down your search results by suggesting possible matches as you type.
Showing results for
Search instead for
Did you mean:
Close X
Community
About EY_10539769
since
Jan 10, 2023
EY_10539769
2-Explorer
View all badges
Latest Posts by EY_10539769
Unsolved
/Unanswered
Posts
View More Recent Posts
View More Unsolved Posts
EY_10539769 has no unsolved posts!
Latest posts by EY_10539769
Subject
Views
Posted
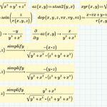
Re: symbolic simplification usage
Mathcad
1336
Jan 11, 2023
09:17 AM
symbolic simplification usage
Mathcad
1430
Jan 10, 2023
03:20 AM
View all
View More Recent Posts
View More Unsolved Posts
Contact Me
Contact PTC Community Management
'