Solved
Area of Parametric (closed) Curve ?
- December 7, 2025
- 3 replies
- 837 views
Hello Everyone.
From :
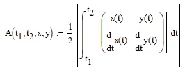
To :
How to calculate Area of Parametric (closed) Curve, the above ? ( MathCad 15 )
Thanks in advance.
Regards.
Loi
While this problem is solvable with calculus - there are tricks to doing it other ways that can come in handy for other less mathematical shapes. Shoelace formula (Surveyor's formula) works just using coordinate points. Something Werner taught me years ago.

Enter your E-mail address. We'll send you an e-mail with instructions to reset your password.