Can it be plotted in MATHCAD Prime 8?
Hello, I'm new to MATHCAD. I was wondering if the following Dynamic Motions problem can be plotted in MATHCAD prime. If so, please show me how! The plot would need to be just like in the picture. 
Hello, I'm new to MATHCAD. I was wondering if the following Dynamic Motions problem can be plotted in MATHCAD prime. If so, please show me how! The plot would need to be just like in the picture. 
@HOOD wrote:
Hello, I'm new to MATHCAD. I was wondering if the following Dynamic Motions problem can be plotted in MATHCAD prime. If so, please show me how! The plot would need to be just like in the picture.
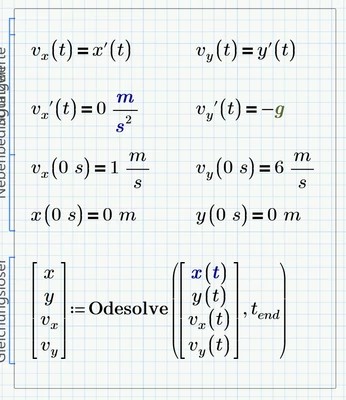
For those simple functions using "odesolve" is kind of overkill and was done for demonstration purposes only 😉

Enter your E-mail address. We'll send you an e-mail with instructions to reset your password.