Its a pity that the symbolic engine is not able to simplify the result so that the desired analytical expression is shown.
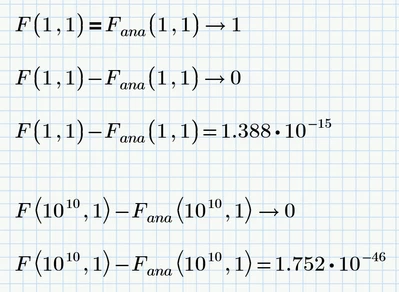
But given that that way the functions F and Fanalytical are defined in a different way (even though the expression may be equivalent)) I am not surprised to see tiny numerical differences - these lie within the expectable numerical tolerance given that IEEE number format is used by the numerical engine.
You probably know that the engine for symbolics was changed a few times in the history of Mathcad.
Up to version 13 it was a subset of the most capable Maple engine which was included. LucMeekes' screenshots show the result of this engine.
In version 14 this engine was replaced by muPad (probably because of legal issues) and this was not an improvement.
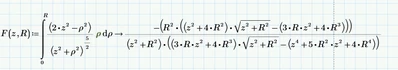
I gave your inegral a try in Mathcad 15 but the symbolics refuses to return a result with the error message "Condition contains Otherwise in subexpression".
If we use inline evaluation the function is not defined because of the error and can not be evaluated, neither symbolically nor numerically.

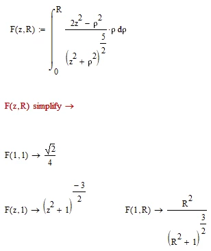
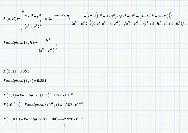
But if we separate the definition and the attempt to simplify it symbolically, we get at least nice compact results when (partially) using numbers as arguments

Prime used muPad up to version 6. In version 6 they additionally introduced friCAS (an Axiom fork) for doing symbolics which starting with Prime 7 is the only symbolic engine in Prime. This engine now is modified and trimmed since then by PTC R&D. I won't say that I see it as an improvement over muPad, but it can be seen that there actually is a development and improvements are noticable.
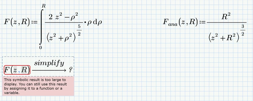
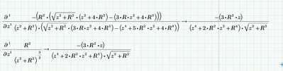
Defining the function in one region and trying to evaluate it symbolically later fails in Prime 10 - at least the result is not displayed because Prime considers it at being too large (??).

Using inline evaluation shows a similar result as seen in your screenshot and I was not able to talk Prime into doing further simplifications.

We can now evaluate with numerical arguments, but Prime is not able to simplify the results in the desired way

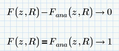
But even though Prime can't simplify the results, its symbolics 'knows' that they are equivalent

Interestingly enough this even applies to the full symbolic expressions
