Solved
Element-Wise Multiplication and Division with Column Vector Variables
- February 20, 2026
- 2 replies
- 249 views
Hello PTC Community.
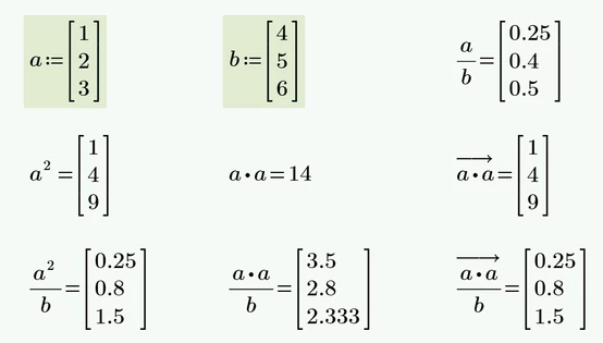
I am posting a Mathcad Prime 11.0.1.0 worksheet wherein I am evaluating certain quantities by performing element-wise multiplication and division of column vector variables. I believe that I am not doing this right.
Your help will be appreciated.
In MATLAB, it is .* & ./ for element-wise multiplication and division, respectively.
Both the attached Mathcad & Excel sheets work together.
Thank you for your assistance.


