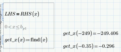
@LucMeekes wrote:
It's the 'return from above', the other one is hard(er) to find.
I don't think that the second solution is harder to find, but its not positive so it may not be of interest 😉
Actually there are two negative solutions - one at -0.296 and the other at -249.4.
We have two vertical asymptotes and the two solutions are at the left of the leftmost and to the right of the rightmost asymptote.

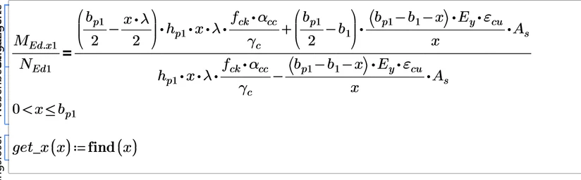
@Reinis_B
You demand your solution to be in the interval from 0 to b.p1=0.36. So why a guess of x=1. Actually even higher guess values work OK, but I would rather use b.p1/2, a value sure within the interval the solution is supposed to be.
Prime does not help in automatically choosing an appropriate guess value (if Prime could do so, it would not be necessary at all to provide a guess value).
So its up to you to make a good guess, probably based on a plot like the one above.
Looking at this plot it seems that it may better to chose a guess to the right of the asymptote (greater than 0.151).
You may also parametrise the solve block, turning it into a function with the guess value as its argument.

That way you can easily test various guesses:

As you can see its hard to tell why a guess let the solve block fail. In your case higher guess values seem to be no problem.
Guess values in the range from the vertical asymptote up to 1 (and higher) seem to work all the time.
BTW, it also is dependent on the values of the system variables TOL and CTOL if the calculation fails or not.
But again, looking at the plot it seems not to be wise to use a guess value to the left of the rightmost vertical asymptote.
You may write a program which loops through a range of x values and uses "try ... on error...." to catch the errors and returns the values found.
You may also make the function get_x additionally dependent of the values lambda and alpha.cc if this is of interest.
If we disable the additional constraint we also can get the two negative solutions
