Solved
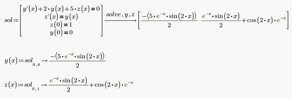
I don't think that Prime would be able to solve that integral equation, but you can easily rewrite it (substitute y*=z') and then you could solve it symbolically

or that way:

Enter your E-mail address. We'll send you an e-mail with instructions to reset your password.


