Isolate a block area from the rest of the Mathcad sheet
I am still using MC 11.2
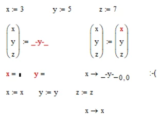
Sometimes I solve a set of math exercises, let say three of them, in the same MC document since they belong to the same exam.
I was looking for a way to separate completely one exercise from the others, not only in terms of layout (using "Insert Area"), but also in terms of variable definitions. In this way a variable defined in the first exercise would not be seen (and used) in the second and third exercise. This to avoid overlappings of data.
Is there a way to do this, like a command "clear variables", or isolation blocks, that are in use in other math software? If not, is there a workaround to achieve the same result?
Thank you.

