ODEsolve problems again!
- April 18, 2026
- 6 replies
- 447 views
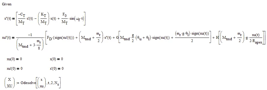
Hi, I am trying to solve an ODE to model a “Ball and Cone” tuned mass damper. The equations simulate a ball mounted inside a pair of cones with mass on top. The ball oscillates up and down an inclined slope with a curved region at the apex between the up/down slopes. I am using Radau solver as it is a stiff equation. Adams/BDF “does not converge”. The 1st solve block uses a simplified simulation for base excitation of the TMD. Using Radau with modest levels of damping the first solve block result gives a discontinuous response which should not happen given the inclined slope is a tangent to the curved section at the apex. Any ideas how I can correct this discontinuity would be appreciated.
I tried using sigmoid transition functions (2nd solve block) for the step between inclined slope and radius but this gives a large number error.
The 3rd solve block includes an extra degree of freedom to simulate the tower on which the damper is mounted, which is the aim of the program. This won’t solve either with “too few IC’s”, when I believe I have the correct number for the 2 x 2nd order equations.
Any assistance will bring a smile to my face!
Thanks Ross

