Solved
Issues with root function from MathCad 15 to Prime 7.0.0
Hi
I am currently converting files from 15 to Prime which must of it have been successful.
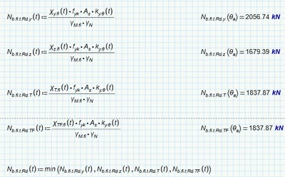
I have an issue with this equation below:

Here are the input:


I can plot the data easily, but I cannot get the intersection point which im trying to with the root function.

It works in mathcad 15:



