Datum curve will not draw at real bounds of arccos(x)
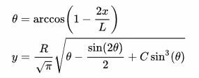
I am modelling the nose cone of a rocket (Haack series) whose shape is described by the following equations:
Where:
- C = 0
- R = 49 (R is the radius of the cone)
- L = 560 (L is the full length of the cone)
I've used a datum curve defined by the equation in order to do a revolved extrusion. The problem is that the curve will fail to generate if I set the domain of x to draw over the full length of the cone 0 ≤ x ≤ 560 .
Creo will only generate the curve over 10 ≤ x ≤ 559 .
Seems like the first equation is the source of the problem because you cannot have arccos(x) for x > 1 or x < -1.0 without getting complex numbers and even just getting x close to those numbers seems to make Creo cry.
What can I do to get the curve to draw over the entire length?
I tried bashing my face against the keyboard but, that didn't work.

