Community Tip - Did you get an answer that solved your problem? Please mark it as an Accepted Solution so others with the same problem can find the answer easily. X
I have troubles in simplfying this equation normally in Mathcad15 it can be simplfied as following equation shown in the picture. However this doesn´t work on mathcad prime as shown on next picture.
Solved! Go to Solution.
As already written above - you need to define variable i
Thats also what the error message is telling you.
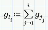
I am not sure what you are trying to achieve, but maybe you are looking for something like this:
You could also use
for the same result.
If this is, as I think, what you are looking for and if you need that kind of calculation more often you may consider writing a small utility function like this, which you can use on various vectors of arbitrary size and without having to define ranges, etc.:
Worksheet in P6 format attached
In real Mathcad you would also have to define i (presumably as a range)
Don't post just pictures, attach your worksheet
As already written above - you need to define variable i
Thats also what the error message is telling you.
I am not sure what you are trying to achieve, but maybe you are looking for something like this:
You could also use
for the same result.
If this is, as I think, what you are looking for and if you need that kind of calculation more often you may consider writing a small utility function like this, which you can use on various vectors of arbitrary size and without having to define ranges, etc.:
Worksheet in P6 format attached
Thank you very much, I was trying out but still struggling on operating it.
Thank you very much for further simplification!
