Community Tip - You can change your system assigned username to something more personal in your community settings. X
To all
Not really a Mathcad specific question but a “fundamental “ math question. I know that some of the regular contributors to this forum have the expertise.
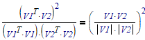
I am comparing 2 vectors {v1} and {v2} of length N using the formula
[{v1}T*{v2}]^2 / [{v1}T{v1}*{v2}T{v2}]
where T = Transpose
I did a check using 2 very simple vectors of length 11 so that for x = [0,1..10]
V1 = x^2 and v2 = 10*x
Using the formula I get 0.938 thus suggesting that these 2 vectors are very similar. But clearly they are not!
Has anyone got “insight” on this? It’s quite common to use this formula in some engineering field and setting-up a threshold of > 0.9 as acceptable to assume that the vectors are similar. in this case this is telling me that a stragith line is almost as good as a parabola.
Thanks
Regards
a link: here
I have my doubts. I created two equal vectors and did the test:
Would this indicate they're not even nearly equal?
Success!
Luc
My apologies I mis-typed the equation. It should read [{v1}T*{v2}]^2 / [{v1}T{v1}*{v2}T{v2}]
I'll correct the orignal post
I still have my doubts, but I suggest an alternative, which is simpler:
Got the idea from: https://math.stackexchange.com/questions/1277288/what-is-the-best-way-to-see-if-vectors-are-equal
Where it says:
"You could compute the dot product of the two vectors, and if they are parallel (same direction) their dot product will be equal to the product of their individual norms."
Success!
Luc
with "1/(rows(X)-1)" i get values outside of [-1...1]; try with a small vector. Guess it must be 1/rows(X) maybe?
Note that in mathcad (11, 15) 'stdev' is the variance over all n elements (rather than n-1). The "1/(rows(X)-1)" works with Stdev(), not with stdev()...
Luc
Thanks but don't think so. The MAC for eigenvectors (remember your helicopter days!)
@LucMeekes : why (v1Tv2)(v1Tv2) at the denominator and not [{v1}T{v1}*{v2}T{v2}] ?
Error, sorry.
Correction:
Now it makes sense.Especially since it appears that:
e.g. for the random vectors:
Or in general (for real-valued vector elements):
Success!
Luc
No need to apologies – easy to make mistake with such things. I couldn’t re-type the equation correctly in the 1st place !
So back to the “fundamental” question – I know it’s not quite the forum - maybe I ought to ask a “pure” math forum?
Would you agree that if you were to compare the 2 (eigen)vectors V1 = x^2 and v2 = 10*x one gets something like 0.93 which is telling us that these 2 vectors are very “similar” (if we accept >0.9 as acceptable). I find this rather mis-leading
Pearson's r:
Found another source, on Wikipedia: https://en.wikipedia.org/wiki/Cosine_similarity
Basically it suggests a formula that is the same as my proposal, which means taking the square root of your formula (and omitting the sign...).
Success!
Luc
