Community Tip - If community subscription notifications are filling up your inbox you can set up a daily digest and get all your notifications in a single email. X
Having issues programming an Euler's method for ODEs. Can't get past error in magnitude of numbers.
Solved! Go to Solution.
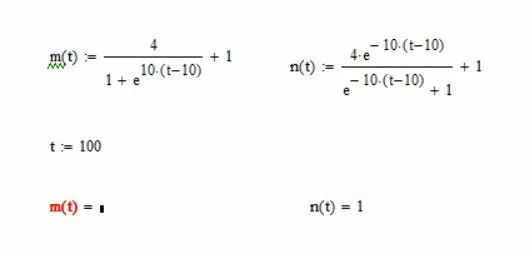
You an improve the situation with m(t) by multiplying numerator and denominator by exp(-10(t-10)). For example:
Alan
It's the exponential in your m(t) expression blowing up.
If you want to use B within your program, you'd probably be better of defining it as a local function at the top of the program (B(t)<-m(t)*p
Stuart
Just as a quick follow-up to my previous post, here's one possibility for making Euler a bit easier to use (as it's already tailored to your problem, it's a reasonable option).
Unfortunately, I've only got Prime Express so can't run programs, but you should be able to check it making B return 5 (to behave like your earlier, simpler Euler function).
Stuart
Right thanks, I know the exp function was going to infinity and mathcad won't handle it. In that same mathcad sheet over off to the right in the worksheet I have another disabled program where I tried to address that issue with an if/else statement. I know the exp blows up around iteration 10 so for k<10 I wanted to calculate m(t) and k>10 just print the 'ms' value.
You an improve the situation with m(t) by multiplying numerator and denominator by exp(-10(t-10)). For example:
Alan
Thank you! I now have a more streamlined program that is at least plotting but the curves just settle around iteration 11. The graphs should look like the image attached. It that program I had a constant value for 'm' but now I want to do one that varies as a function of time.
