Community Tip - Did you get called away in the middle of writing a post? Don't worry you can find your unfinished post later in the Drafts section of your profile page. X
Hello All, Happy New Year,
I am attempting to complete a curve fitting with Bessel functions as described in the reference below.
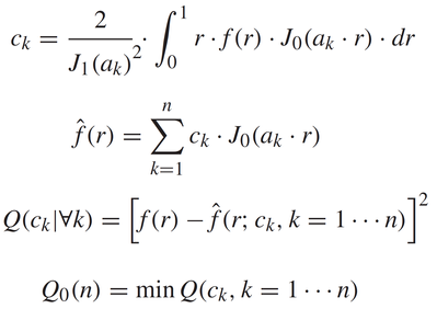
The core concept is the minimization of the coefficients ck of the Hankel transform. See screenshot below.
I am not familiar enough with Mathcad to put together the code at first sight.
(I found the minimize function, but as far I can tell, it would work on the variable r which isn't the parameter needing optimization.)
Could please someone direct me to a template I can use for the task ?
For clarification
* r radius
* f(r) (discrete) thickness profile
* ck coefficient of the Bessel decomposition
* f(r)^ simulated function
* Q cost function for minimization
* Qo(n) cost function w/ minimized coefficients ck
The challenging task, I need with, is the minimization of the function Q, acting on the ck coefficients.
Thanks for the support,
Tomasini
Reference
K. Hui, J. Mou "Bessel Decomposition of Temperature Profiles in Film Deposition Reactors", IEEE TRANS. ON SEMICONDUCTOR MANUFACTURING, VOL. 32, NO. 1, FEBRUARY 2019, pp. 31-38
Hi,
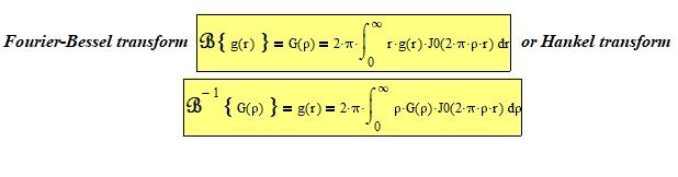
since the Hankel or Bessel-Fourier transform is so defined:
then your request is not entirely clear. You should attach a copy of the IEEE article.
Thank Topaz I for your input.
It's absolutely correct.
But actually, my problem starts where your input stops.
The trouble for me is the minimization of the cost function Q(r) on X coefficients, for an improved curve fitting.of f(r).
The coefficient X are not really a variable of the functions f(r) and f(r)^, (needless to say, it's r).
I am looking for a template or tutorial on how such problem is addressed with Mathcad.
Thanks again for your assistance,
TOMASINI
