Question
Declare a variable based on a conditional
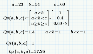
I am trying to declare a variable based on a conditional, the following code is an idea that illustrates the intention:
import numpy as np
a = 23
b = 54
c = 60
Qs = if a < b:
Qs = 1
elif a < b < c:
Qs = 1.4*a
else:
Qs = 0.69*b
Best regards.

