Community Tip - Want the oppurtunity to discuss enhancements to PTC products? Join a working group! X
Dear forum members,
I'm just trying to write a simple integral equation for the beam deflection (simply supported beam with uniformly distributed load).
Could anyone correct me where is the error that in the end it does not come out as it should, i.e. (5/384)*(L^4*q) / EI ??
Greetings,
Solved! Go to Solution.
You are a victim of Primes infamous autolabel feature.
This is especially a PITA in combination with symbolic evaluation and always good for trouble.
The "L" in your sheet have applied different labels. Some are labeled "variable", some "-" (which means automatic and works pretty well if you just use numerical evaluations) and the worst thing is that some are labeled "unit" (Liter). You have to manually label all those "L"'s the same to make it work.
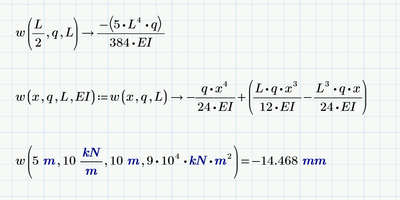
Furthermore the numeric eval of w(...) failed because the value for "EI" is unknown.
You may either provide this value at the very top of the sheet or you turn w into a function with EI as its fourths argument:
You are a victim of Primes infamous autolabel feature.
This is especially a PITA in combination with symbolic evaluation and always good for trouble.
The "L" in your sheet have applied different labels. Some are labeled "variable", some "-" (which means automatic and works pretty well if you just use numerical evaluations) and the worst thing is that some are labeled "unit" (Liter). You have to manually label all those "L"'s the same to make it work.
Furthermore the numeric eval of w(...) failed because the value for "EI" is unknown.
You may either provide this value at the very top of the sheet or you turn w into a function with EI as its fourths argument:
Thank you very much for your help!
Are the same actions possible for a simply supported beam but with partially distributed load ?? This seems more complicated than that. To avoid confusion with the unit (as you wrote above) I, I changed the length marking "L" to "LHB"
Greetings,
Hi,
Here is exactly the same coding for general loads with input for two partial distributed loads.
Cheers
Terry
Hi,
Have rewritten the moment equation so it does not include an if statement and it gets the right results.
The solving for C1 and C2 gives an internal mathcad error.
I know how to fix this but it is late here so will do tomorrow.
Cheers
Terry
Hi,
Promised I'd do this in the morning.
Here is solution for deflection.
Cheers
Terry
Hi Terry,
Thank you very very much for your help! This is exactly what I wanted to obtain!
Many Greetings to you,
Woj
Hi,
Here is a sheet that can handle multiple loads of a generic shape to get you max moment and deflection of a simply supported beam.
Cheers
Terry
 
					
				
				
			
		
