I was asked to:
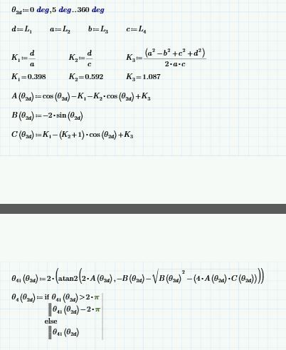
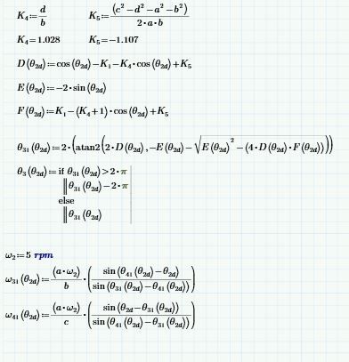
- Solve for all positions of the designed mechanism, with an increment of 5o the driver-dyad crank angle. Specifically, calculate angular positions for the input, coupler, and output links, as well as the coordinates of the point P (hint: first find the set of input link angles as outputs of the driver dyad, then repeat the analysis with the set of input angles as inputs to the mechanism designed in part 1).
- Plot angular positions as a function of the driver-dyad crank angle in one cycle.
- Plot the positions of the point P in two ways: first, plot each as a function of input angle; second, plot the trajectory of the point P on the x-y plane.
- Assume that the angular position of the driver-dyad crank is varied with a constant speed of 5 rpm. Find x and y components of the velocities and accelerations of the point P. Also find the magnitudes of total velocities and accelerations of the point P.
- Plot the magnitude of the velocity of point P as a function of time starting at zero and increasing by one-tenth second increments until at least one cycle has been completed.
- Plot the magnitude of the acceleration of point P as a function of time starting at zero and increasing by one-tenth second increments until at least one cycle has been completed.
I have generated my code up to this point, however, when I try to plot the functions it doesn't give me anything. Can anyone see where there might be a problem in my code?


