Community Tip - Did you get an answer that solved your problem? Please mark it as an Accepted Solution so others with the same problem can find the answer easily. X
Hello everybody.
I have a general question:
How do I define the solution interval for the simple first/second order DE?
Example:
The DE y**-9y = 0, has two solutions: y1=e^3x and y2=e^(-3x). How do I define the solution interval here?
I need merely a simple explanation of how to proceed in order to find the solution interval (in general also).
Linear independence:
Question: What does it mean for the "real" world? What do we get by knowing that the solutions of a given DE is linearly dependent or independent?
Best regards,
Sergey
Solved! Go to Solution.
The DE y**-9y = 0, has two solutions: y1=e^3x and y2=e^(-3x).
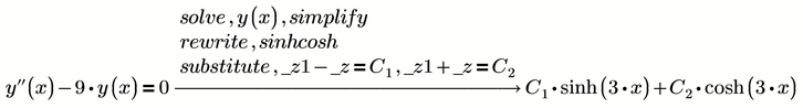
No, it has an infinite number of solutions! y = C1 * e3x + C2*e-3x and Prime is able to come up with it
or
or using hyperbolic functions
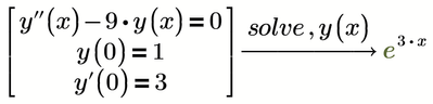
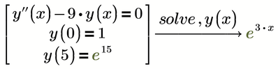
To get particular solution you have to provide initial values. For example to get the two solutions which you mentioned you would use
and
or even
etc.
Not sure what exactly you mean by "define the solution interval" ?
In case you have using odesolve(vf, b, [intvls]) in mind: the lower limit is defined by the initial condition. If you use y(0)=.... then the lower limit is 0.
The upper limit is the second function argument b of odesolve.
And if you have the 'interval of validity' or "interval of definition' in mind - that may also depend on the initial condition and Prime will not provide it.
Lets take for example the ODE y'=y^2 with y(0)=1. The solution is y=1/(1-x) and Prime can provide it
The function is defined in R\{0} but that's not an INTERVAL - so the interval of definition is just (-infinity; 1) because the value 0 of the IC lies within this interval. Prime will be of no help to come up with this interval.
The DE y**-9y = 0, has two solutions: y1=e^3x and y2=e^(-3x).
No, it has an infinite number of solutions! y = C1 * e3x + C2*e-3x and Prime is able to come up with it
or
or using hyperbolic functions
To get particular solution you have to provide initial values. For example to get the two solutions which you mentioned you would use
and
or even
etc.
Not sure what exactly you mean by "define the solution interval" ?
In case you have using odesolve(vf, b, [intvls]) in mind: the lower limit is defined by the initial condition. If you use y(0)=.... then the lower limit is 0.
The upper limit is the second function argument b of odesolve.
And if you have the 'interval of validity' or "interval of definition' in mind - that may also depend on the initial condition and Prime will not provide it.
Lets take for example the ODE y'=y^2 with y(0)=1. The solution is y=1/(1-x) and Prime can provide it
The function is defined in R\{0} but that's not an INTERVAL - so the interval of definition is just (-infinity; 1) because the value 0 of the IC lies within this interval. Prime will be of no help to come up with this interval.
Thank you, Werner_E.
Very usefull explanation and technique in Mathcad Prime.
